|
||
|
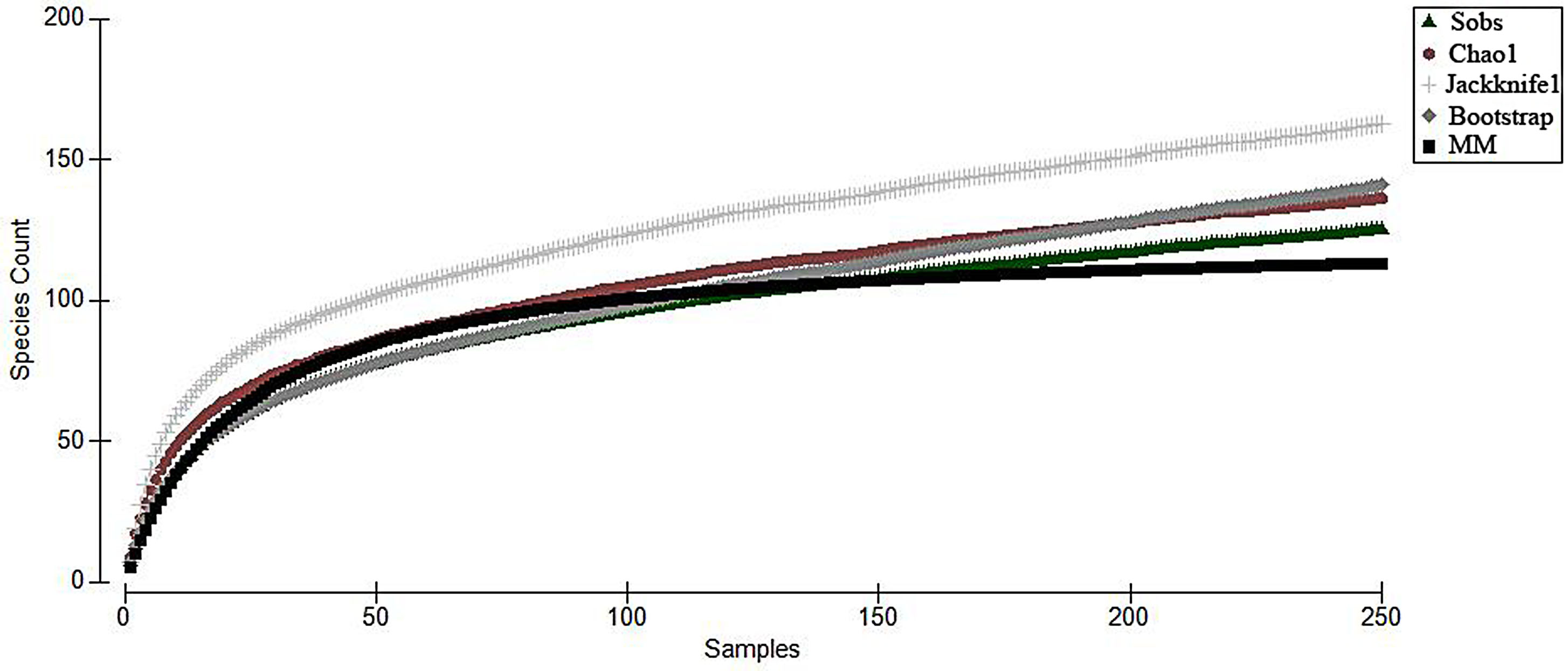
General species accumulation curve over the sampling period for this study. |
||
| Part of: Vieira LO, Campos DS, Oliveira RF, South J, Coelho MSP, Paiva MJS, Bragança PHN, Guimarães EC, Katz AM, Brito PS, Santos JP, Ottoni FP (2023) Checklist of the fish fauna of the Munim River Basin, Maranhão, north-eastern Brazil. Biodiversity Data Journal 11: e98632. https://doi.org/10.3897/BDJ.11.e98632 |